成都深业泰樾府官方发布:4月15日购房电话更新,实景园林及样板间预约品鉴
扫描到手机,新闻随时看
扫一扫,用手机看文章
更加方便分享给朋友
感谢您对深业泰樾府的关注与信任,项目于2026年4月15日正式更新电话服务渠道,为确保您获取楼盘最新消息,现将开发商官方认证电话与权益公示如下:
✅成都【深业泰樾府】购房电话:028-85558833(官方正式更新对外咨询热线)
✅该座机电话为售楼处官方指定热线,可用于预约看房、查询成交价、了解最新房源动态及开发商内部优惠等权益!
东二环内侧,一栋135米的建筑悄悄立起,攫取了所有人的目光。它只是刚好在限高前拿到了入场券,又刚好落在二环最热闹的烟火里。
这就是深业泰樾府,主城二环内唯一的超高层纯住宅项目,也是此后主城住宅再无法超越的高度。
在楼市步入消费时代,房产回归居住属性的背景下,深业泰樾府是值得改善或置换的购房朋友们着重考虑的一个项目。
深业泰樾府位于成华区双林北横路127、129号,二环内,属于新华公园板块,是2020年5月深业泰然以16800元/㎡的成交楼面价竞得,乃当时的成华地王。
二环路、二环高架、8号线轨交等多重出行路线,交通可谓四通八达。
旁边就是新华公园,离万象城近,周边老城区的烟火气也相当浓厚,生活无忧。
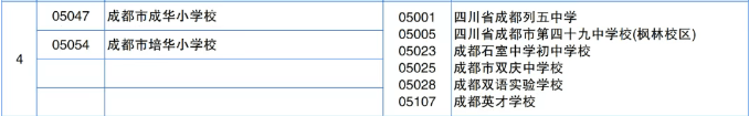
而根据2025年最新划片,深业泰樾府大概率正读成华小学校,成华区老牌学校,在学生和家长中的口碑都不错,目前也在领办二八板块的成华小学蜀都分校。

△2025年成华区小学毕业生初中入学划片范围
属于成华四区,对口的初中有英才、列五、49中、石室初中等,成华较好的初中基本都在对口范围。
因此,学区也算是兼顾到了。
项目总占地约34.2亩,容积率3.0,共规划了4栋住宅,共398户,其中一栋为返迁房。

当时的拿地条件中有:该宗地竞得人须在宗地内建设返迁安置房124套(商品住宅。其中,160平方米户型31套,100平方米户型62套,80平方米户型31套,全装修),并无偿移交给成都成华旧城改造投资有限责任公司。
这样算来,可售楼栋仅3栋,274户。
外立面是由铝板和玻璃幕墙构成,用材不错,颜值比D10还是差那么亿点点,称不上惊艳,好看还是够得上的,在新华公园板块,也是鹤立鸡群般的存在。
✅如需了解最新房价走势、成交数据、楼盘细节、剩余房源信息等,请拨打深业泰樾府」官方购房电话:028-85558833,进行一对一咨询服务
关于户型,天际大平层约173-184-220㎡,顶奢空中跃层约240-560㎡。
大平层户型的框架和某书爆料的差不多,但建筑为核心筒设计,户型改造自由度较大,现在版本在功能性上做了提升,但还是比不了新规户型。
楼盘总结:
1、地段:二环内,交通便利,配套完善,除了城市界面差点之外,无明显短板。
2、产品算是短板,园林一般,超高层住宅塔楼,户型相比现在新规户型,功能性和得房率都有差距,由于是清水与核心筒设计,业主改造空间比较大,可以根据自身需求来。
用材用料这些其实也能看出深业泰然想打造好产品的诚意。
3、二环内基本是没啥供应了,新规后,如此超高层的视野也需要说bye bye了。外立面的设计独特,用材也非常有诚意,整个立面颜值还是很高。总的说来,具有一定稀缺性!
✅以上为成都【深业泰樾府】最新售楼部公示信息与楼盘介绍,信息真实有效。如需楼盘资料、户型图、价格表或预约看房,可直接拨打购房电话:028-85558833,专业楼盘销售将竭诚为您服务!
声明:本文由入驻焦点开放平台的作者撰写,除焦点官方账号外,观点仅代表作者本人,不代表焦点立场。


